应用多元统计分析(R语言版) 刘金山 夏强课后习题答案解析

2024年12月06日 11:22
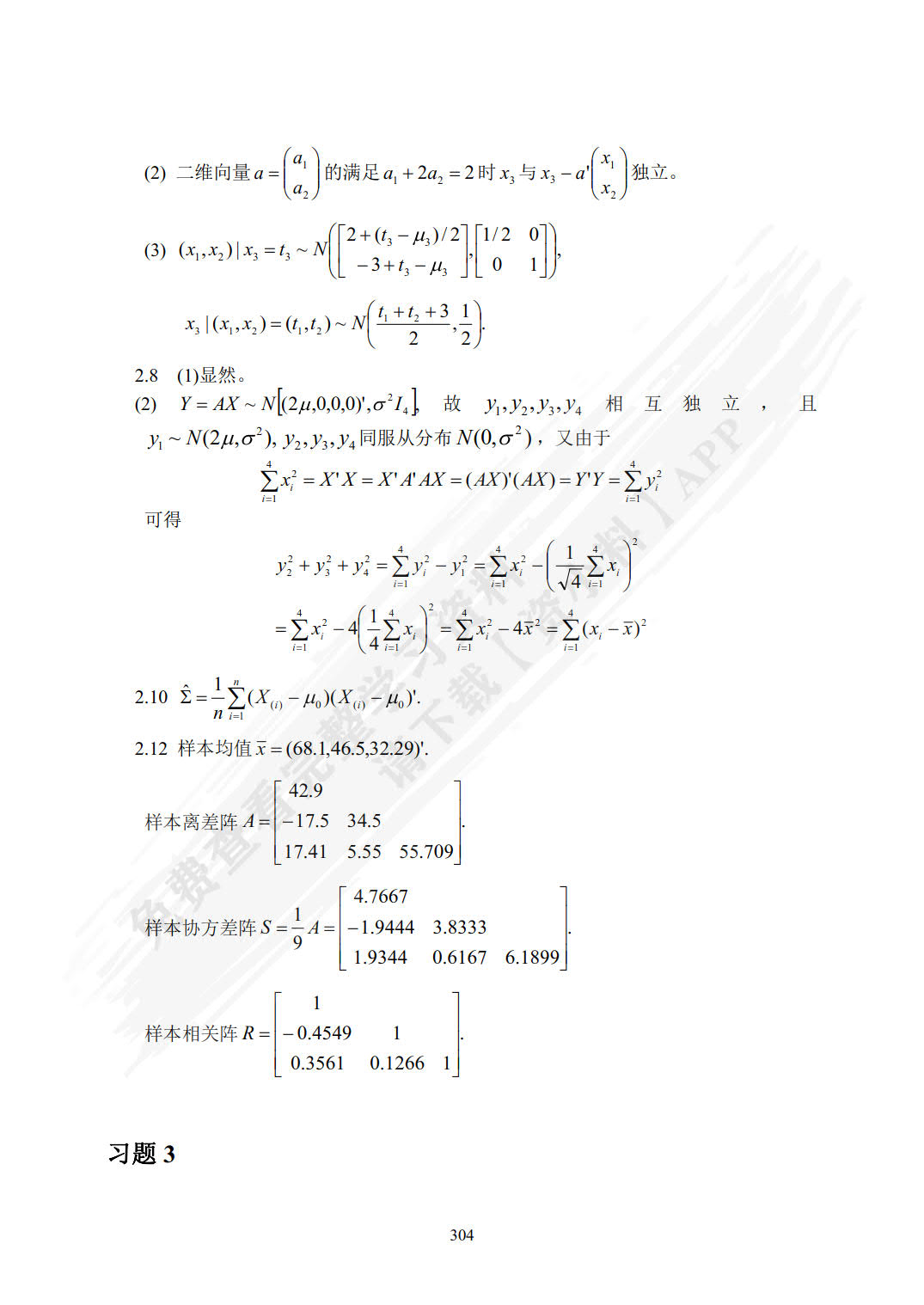
934浏览
应用多元统计分析(R语言版)
应用多元统计分析(R语言版)
主 编: 刘金山 夏强
ISBN: 9787115557520
出版社: 人民邮电出版社
上传者: @洋葱:煎饼
《应用多元统计分析(R语言版)》是本学期我所学习的一门课程,其主要内容包括多元统计分析的基本原理和R语言在多元统计分析中的应用。这门课程对于理解数据,分析数据,以及运用数据解决实际问题具有重要意义。
在学习过程中,我遇到了不少难题,尤其是多元统计分析的部分。教材中的理论讲解较为深入,但实际操作中却难以理解。因此,我渴望获取一些学习资料、学习方法以及学习经验,以帮助我更好地理解和掌握这门课程。
首先,我希望能找到一些与《应用多元统计分析(R语言版)》教材配套的视频教程或者学习资料,以便于更好地理解教材中的内容。其次,我希望能通过参加一些学习小组或者论坛,与同学们一起讨论和交流学习中的问题和经验,共同进步。最后,我希望能得到一些学习经验,特别是那些在多元统计分析方面有所成就的前辈们,能够分享他们的学习经验和技巧。
详情资料
应用多元统计分析(R语言版)
应用多元统计分析(R语言版)
应用多元统计分析(R语言版)
应用多元统计分析(R语言版)
应用多元统计分析(R语言版)
应用多元统计分析(R语言版)
为了给您更好的查看体验,请下载资小料APP免费查看余下资料
更新于 2025年03月14日 21:42
本书资料由用户@洋葱:煎饼上传,如有侵权请联系平台客服删除。