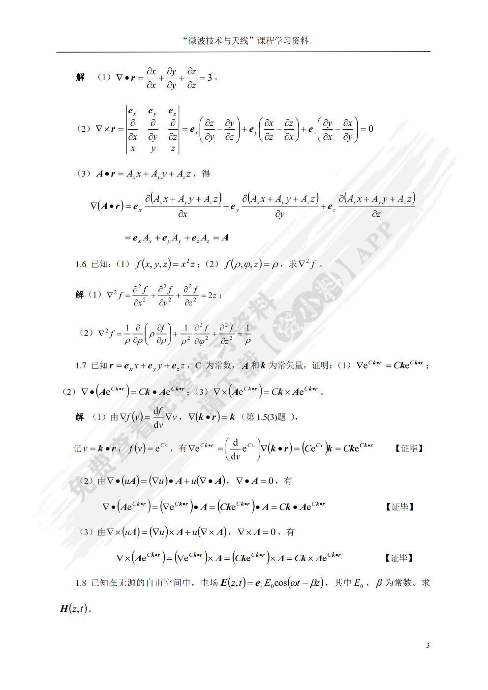
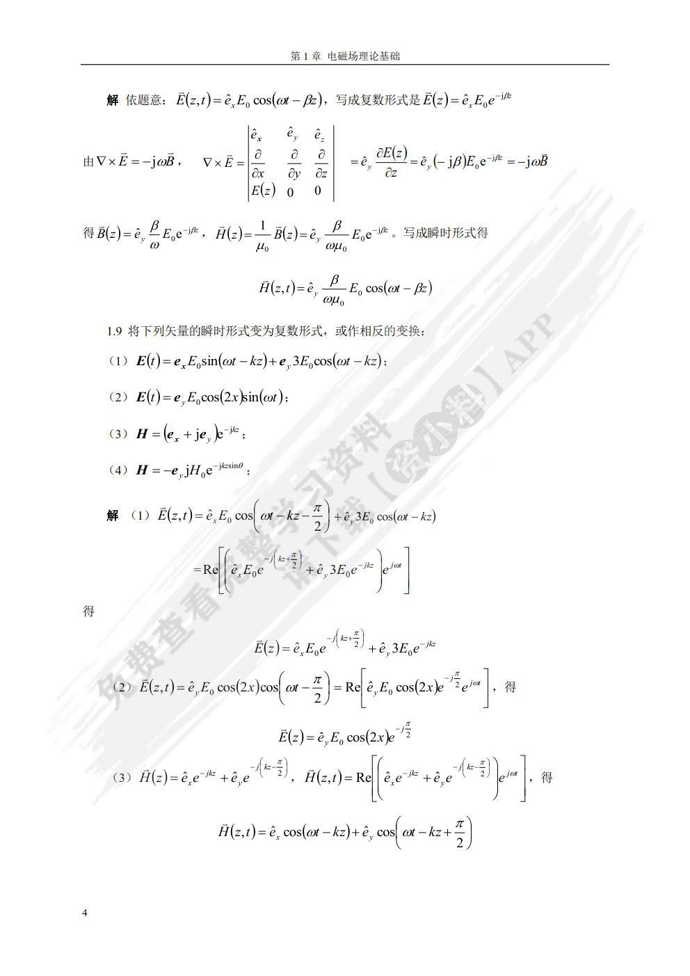
微波技术与天线 第2版傅文斌课后习题答案解析

2022年09月26日 14:16
1,120浏览
微波技术与天线 第2版
微波技术与天线 第2版
主 编: 傅文斌
ISBN: 9787111434597
出版社: 机械工业出版社
上传者: 我敢说
《微波技术与天线 第2版》是一本非常实用的教材,对于电子信息工程、通信工程等专业的学生来说,掌握其中的知识是非常重要的。然而,学习这本书并不容易,需要我们投入足够的时间和精力。在这里,我想向大家求助一些学习经验和方法,希望得到大家的帮助。
《微波技术与天线 第2版》是大学电子信息工程、通信工程等专业的重要教材之一。本书主要介绍了微波技术及天线的基本原理、分析方法、设计技巧及应用。通过学习这本书,我们可以掌握微波工程领域的基本知识和技能,为以后的学习和工作打下坚实的基础。
在学习这本书时,我们可以采用多种方法相结合的方式进行学习。首先,要认真阅读教材,理解基本概念和原理;其次,可以借助网络资源,如慕课、博客、论坛等,获取更多的学习资料和案例分析;此外,还可以参加相关的实践活动,如电子设计竞赛、创新项目等,将理论知识应用于实际项目中,提高自己的动手能力和创新能力。
详情资料
微波技术与天线 第2版
微波技术与天线 第2版
微波技术与天线 第2版
微波技术与天线 第2版
微波技术与天线 第2版
微波技术与天线 第2版
为了给您更好的查看体验,请下载资小料APP免费查看余下资料
更新于 2026年03月27日 15:47
本书资料由用户我敢说上传,如有侵权请联系平台客服删除。