Toggle navigation
资小料
大学免费不限次数搜题APP,大学生的移动资料库
首页
习题答案
关于我们
首页
习题答案
课后习题答案解析
微积分 下册王娜 杨淑辉 罗敏娜课后习题答案解析
2025年11月18日 18:08
420浏览
微积分 下册
主 编:
王娜 杨淑辉 罗敏娜
ISBN:
9787111777786
出版社:
机械工业出版社
上传者:
...无言以对
《微积分 下册》是大学理工科必修的专业基础课程之一,覆盖了积分、级数、多元函数微分学以及微分方程等内容。本书内容详实,逻辑性强,不仅包含了理论知识,还涉及了大量的实例练习,对于深化对微积分的理解非常有帮助。
我最近开始学习《微积分 下册》,感觉好多概念和公式都难以理解,希望能找到一些好的学习资源和方法。请问有什么推荐的学习资料吗?
另外,大家有没有一些学习微积分的经验和窍门?如果有,请告诉我,谢谢!
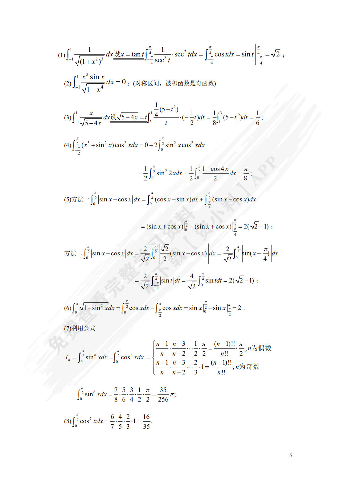
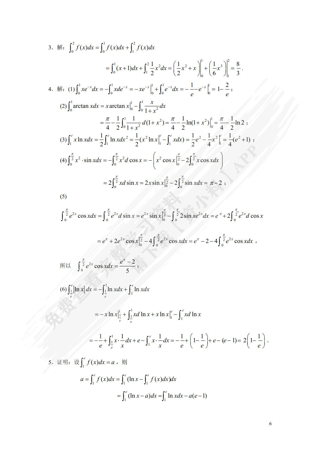
详情资料
为了给您更好的查看体验,请下载资小料APP免费查看余下资料
Android APP下载
安卓手机浏览器扫码下载
iPhone APP下载
苹果手机浏览器扫码下载
更新于 2025年11月18日 18:08
本书资料由用户...无言以对上传,如有侵权请联系平台客服删除。
相似资料推荐
微积分(经管类 第五版)下册
主 编:
吴赣昌
ISBN:
9787300243849
出版社:
中国人民大学出版社
上传者:
给我画一只绵羊吧~
微积分 第二版 下册
主 编:
闫站立
ISBN:
9787040225181
出版社:
高等教育出版社
上传者:
软妹子
微积分(下册)(第3版)
主 编:
同济大学数学系
ISBN:
9787040286182
出版社:
高等教育出版社
上传者:
困兽
大学数学—微积分 上下册
主 编:
李志林
ISBN:
-
出版社:
江苏大学出版社
上传者:
sunshine
微积分下册
主 编:
牛燕影
ISBN:
9787313081209
出版社:
上海交通大学出版社
上传者:
焦同学
微积分(第7版)(影印版)(下册)
主 编:
(加) 史迪沃特 (Stewart,J.) 著
ISBN:
9787040396218
出版社:
高等教育出版社
上传者:
-啵儿-
微积分(英文版·第二版)(下册)
主 编:
威廉·布里格斯 莱尔·科克伦 伯纳德·吉勒
ISBN:
9787300280486
出版社:
中国人民大学出版社
上传者:
·舒伯特玫瑰
微积分(第4版)学习指导与习题解答(下册)
主 编:
张学奇,何忠华,龙彩燕
ISBN:
9787300331874
出版社:
中国人民大学出版社
上传者:
、无敌小飞飞
微积分(上册)经管类·第四版
主 编:
吴赣昌
ISBN:
9787300158143
出版社:
中国人民大学出版社
上传者:
小荷